问题描述
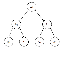
给定一棵包含N 个节点的完全二叉树,树上每个节点都有一个权值,按从
上到下、从左到右的顺序依次是A1, A2,…… AN,如下图所示:

现在小明要把相同深度的节点的权值加在一起,他想知道哪个深度的节点
权值之和最大?如果有多个深度的权值和同为最大,请你输出其中最小的深度。
注:根的深度是1。
输入格式
第一行包含一个整数N。
第二行包含N 个整数A1, A2, …… AN 。
输出格式
输出一个整数代表答案。
样例输入
样例输出
评测用例规模与约定
对于所有评测用例,1 <= N <= 100000,100000 <= Ai <=100000。
1
2
3
4
5
6
7
8
9
10
11
12
13
14
15
16
17
18
19
20
21
22
23
24
25
26
27
28
29
30
31
32
33
34
35
36
37
38
39
| #include<cstdio>
#include<cstdlib>
#include<cstring>
#include<cmath>
#include<iostream>
#include<algorithm>
#include<string>
#include<vector>
#include<queue>
#include<map>
#include<set>
using namespace std;
#define INF 0x3f3f3f3f
#define N 100005
int num[N]={0};
int main()
{
int n;
scanf("%d",&n);
for(int i=0;i<n;i++)
scanf("%d",&num[i]);
int ans=1,k=0,max=-INF;
for(int i=1;i<=ceil(log(n+1)/log(2));i++)
{
int sum=0;
for(int j=0;j<pow(2,i-1);j++)
sum+=num[k++];
if(sum>max)
{
max=sum;
ans=i;
}
}
printf("%d\n",ans);
return 0;
}
|